การใช้งาน “ตัวบ่งชี้การมองเห็น” (ตอนที่ 238)
「การแสดงข้อมูลเชิงลักษณะ」 ของการใช้งาน(その238)
1. 「28รายการคู่สกุลเงินอินดิเคเตอร์」 เพื่อพัฒนาและเพิ่มประสิทธิภาพ
「8CPการแสดงข้อมูลเชิงลักษณะ」กัน USDJPY描く
「8CPการแสดงข้อมูลเชิงลักษณะ」には Oceania版、London版、NewYork版、AnyCP版があります。今回はLondon版を使いました。
上半分は、USDJPYの15分足チャートです。下半分は、「8CP見える化インジケータ」によるものです、緑色のグラフがUSDJPYに相当します
火曜日に、USDJPYのグラフが他のグラフ群から下に抜けてきたので、売ります。底で決済して、利益は約330pispになりました。取れるところだけ取って、後はトレードしないというのが正しい方法です。
通貨の強弱グラフ
15分足の通貨強弱グラフを見ると、JPYが強く、USDが弱くなっていて、通貨強弱グラフで、JPYとUSDが、見事な逆相関関係になっていることがわかります。
JPYとUSDの関係は、JPY>USDで、JPYとUSDが拡散して広がっている部分だけに注目し、USDJPYを売りでトレードすれば良いのです。綺麗な逆相関チャートになっているので、ベクトルが広がっている間、ポジションを保持するだけです。
FXでは、今一番大きく伸びていて、逆相関関係にある通貨ペアを選んでトレードすれば、自ずと結果が付いてきます。
「通貨強弱逆相関を狙え!」は、FXの鉄則です。
「TrendLine-EX」を使っていれば、斜めのトレンドライン抜けでエントリーや決済を自動化できます。そのまま放置できるので、楽々のトレードが実現できます。「TrendLine-EX」は、トレンドライン下抜けで自動売り、トレンドライン上抜けで自動決済ということができる半自動のEAです。
2. Best Selectインジケータを使ってみる
下の図は、2026年2月9日08:28(JST) 의 화면 캡처입니다
[Total]숫자의 내림차순으로จัดเรียงอยู่。ด้านบนสุดคือAUDJPYคือ,ในทุกช่วงเวลาจะเป็นสีฟ้าทั้งหมดของ表示สีสีน้ำเงิน。Total数字が3758.05と、大きなプラスの数字になっています。AUDJPYに著しい上昇トレンドが発生していることが示唆されます。
では、AUDJPYのチャートを見てみましょう。
赤色の矢印がスクリーンショットを撮影した所です。急騰している部分を捉えています。
「28通貨ペアBest Selectインジケータ」、28通貨ペアの中で、最もトレンドが発生している通貨がどれかを容易に発見することができます。また、今、トレードをすべきか否かを、数値と色で教えてくれます。全通貨ペアの動向を一目で判断することができる優れたインジケータです。
「28通貨ペアBest Selectインジケータ」
https://www.gogojungle.co.jp/tools/indicators/35128
3. 2021年5月から追っているEURJPYの動きはどうなった?
2021年5月からEURJPYの動きを追っています。
全体の流れを見るため、30分足チャートで直近約3週間分を描いています。
前回は、次のように書きました。
ピンク色がEUR、緑色がJPYです。JPYは、やや上を向いてきました、一方EURは、水平からやや下方向です。よって、EURJPYは、下落方向に推移すると考えられます。
予想通りに、下落方向に大きく動き。通貨JPYが強くなった影響もあり、大きな下落が発生したと考えられます。
30分足の通貨強弱チャートです。
ピンク色がEUR、緑色がJPYです。JPY、上向きに、一方EURは、水平からやや下向きです。よって。、EURJPYは、今後も下げ圧力が強くなると考えられます。
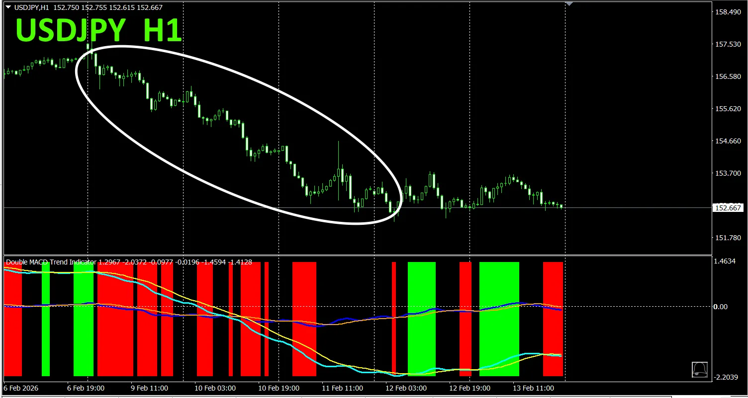
新規インジケータ「Dual_MACD_Trend_Indicator」は以下をご覧ください。
MT4版:https://www.gogojungle.co.jp/tools/indicators/62199
MT5版:https://www.gogojungle.co.jp/tools/indicators/62202
แนวโน้มถูกแสดงด้วยสีอย่างชัดเจน。สีของบาร์Lime แสดงถึงการซื้อ、Red แสดงถึงการขาย、初心者にも分かりやすく使いやすいインジケータです。หากสีเขียวแสดงถึงแนวโน้มขึ้น、แดงแสดงแนวโน้มลง、หากไม่มีสีบ่งบอกว่าไม่มีแนวโน้ม。ด้วยการแสดงสี、。
導入อินดิเคเตอร์นี้ใน USDJPY ในกรอบเวลา 1 ชั่วโมงของเราแล้วได้
ส่วนโซนขายเป็นสีแดง และโซนซื้อเป็นสีเขียวที่แยกออกชัดเจน、ทำให้การเทรดสะดวกขึ้นมาก。
「Dual_MACD_Trend_Indicator」จะใช้กฎง่ายๆ ว่า、โซนสีเขียวให้ซื้อ、โซนสีแดงให้ขาย、
。「Dual_MACD_Trend_Indicator」を使えば、もうトレードの方向に迷うことがありません。
5.「Hyper-CSW」がリリースされました
「Hyper-CSW」は、主要8通貨の強弱を一目で可視化できる高性能インジケータです。表示中の時間足における過去10本分の最強通貨とスコアを記録し、トレンドの持続性や転換点を的確に捉えることができます。さらに、M15・H1・H4・D1・W1といった複数時間足での通貨強弱ランキング(上位4通貨)をスコア付きで表示するマルチタイム分析にも対応。視認性の高いカラーラインと、別ウィンドウ表示により、相場の流れを見極める力を、あなたの手に与えてくれる強力なインジケータです。
รายละเอียดเพิ่มเติมโปรดดูที่、次のリンク先をご覧ください。
https://www.gogojungle.co.jp/tools/indicators/65082
「8CFDการแสดงข้อมูลเชิงลักษณะAny版」
https://www.gogojungle.co.jp/tools/indicators/32288
「とれとれインジケータ」
https://www.gogojungle.co.jp/tools/indicators/50115
「TrendLine-EX」
https://www.gogojungle.co.jp/tools/indicators/42257
「8C通貨強弱เห็นข้อมูล」は、以下のページをご参照ください。
MT4版 https://www.gogojungle.co.jp/tools/indicators/39150
MT5版 https://www.gogojungle.co.jp/tools/indicators/39159
【สินค้าของฉันที่ลงขายอยู่】