極秘プロジェクト - 誤差0.01pipsの世界
【重要】
※本プロジェクトは現在n_k_i___側で汎用AIとその仕組みの構築・検証段階であり、必ずしも実現するものとは限りません。
ただし、実現しなかった場合でも、python×MT5統合インジケーターや別サーバー構築、特定通貨ペア限定など何らかの形で提供可能性があるという段階まで検証は進んでいます。
学習モデルの扱いや、規模、運用方法など、ロジック以上に運用面での課題がある場合もあります。
可能な限りゴゴジャン×鬼速AIの公式コラボ商品として提供したいと考えている段階です。
未来のことなので、「錬金術」と言い切るのは難しいところではありますが、スキルや資産、設備の無い「持たざる」個人でも実現できる範囲で言えば、近いものであると言っても過言ではないかもしれません。
※以下で紹介するデータは鬼速AIをもとにした検証データです。要するに「何だか分からないけど、鬼速AIはこんなに凄い」という話でもあります。
【記事の本題は以下】
鬼速AI(のAI学習モデル)をゴゴジャンサーバー上へ設置し、MT4上に限らず、個人レベルでは実現不可能と言えるサーバー上での相場学習と安定した配信を行うことで、特定のポイントにおいて、○pipsまでは取れそう、予測精度は○%などという通知を初心者~上級者の幅広い方へ向けて行うプロジェクトが進行中です。
現在MT4上でサインを表示するインジケーターは、確かに無裁量EAでも好成績を残しています。
中級者以上のトレーダーにとっては、「サインと自身の手法を照らし合わせてエントリーをし、効率的なエグジットを行う」という基本的な裁量運用をすることは難しいことではありません。
しかし、トレードを始めて数年の初学者~中級者の間であれば、サインを信じるかどうかで迷ったり、少しの逆行ですぐ逃げてしまったりと、トレード自体の安定感が無いということも多々あります。
そこで、鬼速AIのmicroAIを言わばNeo鬼速AIという形へ昇華し、より初心者向けに使いやすく「勝率」「想定pips」「想定逆行pips」などをリアルタイムで配信するというプロジェクトです。
そして、先日このプロジェクトの進捗状況を報告したところ、かなり多くの反響をいただいたため、普段であれば触れない技術や検証部分をいくつか紹介してみたいという次第です。
まずこのグラフは、予測と実際の進行pips数の誤差や相関を示したものです。
結論から言えば、「かなり相関している」という感じです。
指標や発言などのテクニカル総無視という状況を除けば、平均誤差は15pips程度に収まっており、80%が20pips以内の誤差に収まっているという成績です。
ざっくり言えば、AIがシグナルから「80pips伸びる」と予測した場合、8割の勝率で60~100pips伸びると言えるわけです。
もちろん、未来のことなので外れることはありますが、「伸びすぎる」という嬉しい誤差も含んでいます。
次のグラフは、予測pipsごとの順位付けを行い、それぞれの範囲で誤差がないかを調べたものです。
例えば、40pipsの予測は当たるけど、100pipsの予測は当たらないというモデルでは何の役にも立ちません。
ご覧いただければわかる通り鬼速AIは、それぞれの予測幅で高精度の予測ができていることが示されています。
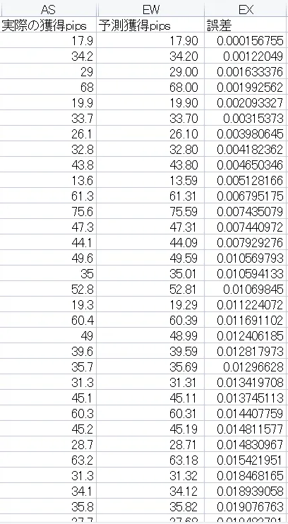
誤差0.001pips
もちろん、外すことはあります。
一方で、最小誤差0.001pips、つまり0.00001円の誤差で当てている場合も複数あるということです。
ちなみに過去3~4年間の検証データ上(全学習データ)では4288回のシグナルがあり、誤差1pips以内は500件、誤差20pips以上は1180件でした。誤差には「嬉しい誤算」も含まれるため、半分の600件は「想定以上伸びた」ということです。一方で、600件は予想ほど伸びなかったということです。
いくらピッタリ予測できると言っても、エグジットはやはり段階的に行い、建値ストップやトレール、分割を行うのは基本中の基本です。
さて、鬼速AIはサイン機能と相場同調機能がメインですが、要するにこのような伸び率が見込めると判断した部分でサインを出しています。
ただ、MT4上で、サインがどこまで伸びるか?確信度はどの程度か?をスタンドアロンで表示するのはほぼ不可能です。
そこで、このプロジェクトが実現すれば、幅広い方が「どこに指値を置くか」「どこで損切りするか」「勝率〇%以下なら捨てるか」という明確な基準を設けることができるようになります。
AIを活用することで、誰もが芸術家のように絵を描き、写真家のように写真を撮り、小説家のように小説を書く時代です。しかし生成AIでは、一流投資家のようにトレードすることはまだできません。
鬼速AIが、あなたがプロトレーダーのように取引する一助となれば幸いです。
Is it OK?